子宫肌瘤(uterine fibroid)存在于75%的妇女中,并可导致严重的并发症,同时也是子宫切除术的主要原因,虽然其在组织学和生物学上是良性的,但具有恶性发展的能力[1],因此,子宫肌瘤的治疗就显得格外重要。目前治疗子宫肌瘤主要采取两种方法:一是药物治疗,二是手术治疗(包括传统手术治疗、子宫动脉栓塞术和高强度聚焦超声)[2]。药物治疗中中医药治疗占据着一定的地位,市场上现有宫瘤宁胶囊、宫瘤消胶囊、宫瘤清胶囊、桂枝茯苓丸(胶囊)、血府逐瘀胶囊(口服液)、丹鳖胶囊和小金丸(胶囊)等中成药,子宫肌瘤是激素依赖性肿瘤,化学药多采用米非司酮治疗。目前,中西医结合的药物疗法较为常见,但因种类繁多,哪种更安全、有效尚未清楚,故本研究运用网状Meta分析对中成药联合米非司酮治疗子宫肌瘤的疗效和安全性进行评估。
1 材料和方法
本研究已在PROSPERO网站注册,注册号:CRD42022348898。
1.1 纳入标准
1.1.1研究类型语言类型为中文或者英文的随机对照试验(randomized controlled trial,RCT)。
1.1.2 研究对象年龄20~55岁,临床诊断为子宫肌瘤的患者,诊断标准参照2017年《子宫肌瘤诊治的中国专家共识》[3],依据症状、体征联合影像学方法进行确诊,影像学方法包括超声检测或核磁共振成像检查。
1.1.3干预措施对照组的干预措施为单独服用米非司酮,试验组为米非司酮联合中成药,中成药及米非司酮具体服药方法及服药周期不限。
1.1.4结局指标①临床总有效率;②子宫肌瘤体积;③子宫体积;④卵泡刺激素水平;⑤促黄体生成素水平;⑥雌二醇水平;⑦孕酮水平;⑧用药期间的不良反应。
1.2 排除标准
①文献类型为综述、Meta分析、论著、会议;②干预措施为非药物或者试验组中包含3种干预措施;③动物实验,研究原始数据无法提取或重复发表的文献;④研究未经医学伦理委员会审批;⑤结局指标不包括“1.1.4”中的3项。
1.3 文献检索策略
计算机检索Scopus、PubMed、Embase、Cochrane Library、Web of Science、万方(Wanfang)、维普(VIP)、中国生物医学文献数据库(CBM)和中国知网(CNKI)数据库,搜索中成药联合米非司酮治疗子宫肌瘤的所有RCTs,检索期限为各数据库建库至2022年3月。检索词采用主题词和自由词相结合的方式进行检索。中文检索词包括子宫肌瘤、米非司酮、胶囊、丸、散和口服液;英文检索词包括leiomyomas、fibroid uterus、uterine fibroma、uterine fibroid、leiomyoma、uterine、mifepristone、mifegyne、mifégyne、mifeprex、ZK-98296、R-38486、RU-486、RU-38486、traditional Chinese medicine、Chinese herbal drugs等。
1.4 文献筛选与数据提取
2名研究员分别根据纳入和排除标准筛选文献、提取资料并交叉核对。如遇分歧,通过第3方协商解决。文献筛选时先去重,后逐步通过筛选题目、摘要,最后通读全文获取文献。数据提取的主要内容包括①研究的基本信息:第一作者、发表年份;②研究的基本内容:样本量(分为试验组和对照组)、患者的基线数据、干预措施的实施方案;③研究的结局指标、测量方式和数据。
1.5 纳入文献的偏倚风险评价
由2名研究员分别按照Cochrane评价手册中的偏倚风险评估工具对筛选所获的RCTs进行偏倚风险评价,并交叉核对,分歧之处通过第3方协商处理。
1.6 统计分析
通过ADDIS 1.16.8软件对筛选所得RCTs进行网状Meta分析,并绘制网络关系图和结果等级排序图。二分类变量采用比值比(odds ratio,OR),连续型变量采用均数差(mean difference,MD),区间估计均采用95%置信区间(confidence interval,CI)。应用节点分析模型(node-split model,NM)进行非一致性检验,若差异无统计学意义(P>0.05),则采用一致性模型(consistency model,CM)进行网状Meta分析;若差异无统计学意义(P<0.05),则采用非一致性模型(inconsistency model,IM)进行分析,并分析其原因。用潜在标尺缩减参数(potential scale reduced factor,PSRF)反映收敛性,当其接近或等于1说明收敛性良好,一致性模型结论可信度高[4]。结果等级排序图用来预测各干预措施疗效的优劣。
2 结果
2.1 文献检索
使用EndNote X9软件对文献进行管理。根据文献检索策略初步筛选文献2816篇,剔除重复后获得文献1012篇,随后阅读题目和摘要后获得文献445篇,最后阅读全文后共纳入定性和定量文献43篇,文献筛选流程见图1。
2.2 纳入文献基本特征
本研究纳入43项研究[5-47],共计4354例患者,其中试验组2182例,对照组2172例。干预措施包括宫瘤宁胶囊+米非司酮、宫瘤消胶囊+米非司酮、宫瘤清胶囊+米非司酮、桂枝茯苓丸(胶囊)+米非司酮、血府逐瘀胶囊(口服液)+米非司酮、丹鳖胶囊+米非司酮、小金丸(胶囊)+米非司酮和单用米非司酮。具体见表1。
2.3 纳入文献质量评价
本研究纳入的文献中,说明具体随机方法的文献共有24篇,其中使用随机数字表法的文献共22篇[5,9-12,15,19,20,22,23,25,26,28,30-32,41-43,45-47],评为低风险;1篇[34]使用抽签法;1篇[35]根据入院顺序进行分组,评为“高风险”。19篇[6-8,13,14,16-18,21,24,27,29,33,36-40,44]文献只将分组方式描述为随机,并未详细说明具体方式,评为“不清楚”。纳入文献均未说明分配隐藏和盲法,评为“不清楚”。不完整数据结局方面均为“低风险”。选择性报告方面,由于纳入的文献具体方案无法获取,因此偏倚风险无法评估。其他偏倚均“不清楚”,见图2。
2.4 网络关系
网络关系见图3。纳入研究均为双臂试验,对结局指标分别进行一致性分析,除临床总有效率的PSFR为1.01,其余均等于1,提示收敛性良好,可用一致性模型进行分析。网络关系图中的连线代表二者之间存在直接比较,直线上的数字代表直接比较的RCTs数量。由图3可看出本研究不存在闭环网络,故不进行不一致性检验。
2.5 网状Meta分析
2.5.1临床总有效率共有41篇[5-19,21-33,35-47]文献 报道了临床总有效率,以OR为效应量,丹鳖胶囊+米非司酮[OR=4.20,95%CI (2.20,8.64)]、宫瘤宁胶囊+米非司酮[OR=4.83,95%CI (1.99,13.62)]、宫瘤清胶囊+米非司酮[OR=4.70,95%CI (2.68,8.56)]、宫瘤消胶囊+米非司酮[OR=4.96,95%CI (2.88,9.10)]、桂枝茯苓丸(胶囊)+米非司酮[OR=3.78,95%CI (2.86,4.97)]、血府逐瘀胶囊(口服液)+米非司酮[OR=6.14,95%CI (1.90,33.46)]、小金丸(胶囊)+米非司酮[OR=2.24,95%CI (1.01,5.07)] 的临床总有效率均高于单用米非司酮,差异具有统计学意义(P<0.05),其余两两比较差异均无统计学意义,见表2。
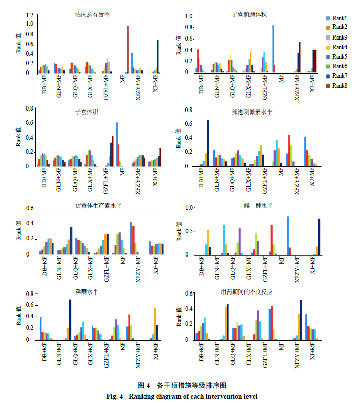
临床总有效率结果等级排序如图4所示,共包含8种干预措施,以Rank1数值越大越好,依次为血府逐瘀胶囊(口服液)+米非司酮(0.43)>宫瘤宁胶囊+米非司酮(0.22)>宫瘤消胶囊+米非司酮(0.15)>宫瘤清胶囊+米非司酮(0.10)>丹鳖胶囊+米非司酮(0.08)>小金丸(胶囊)+米非司酮 (0.01)>桂枝茯苓丸(胶囊)+米非司酮(0.00)=米非司酮(0.00)。
2.5.2子宫肌瘤体积共有40篇[5-19,21-30,32-34,36-47]文献报道了子宫肌瘤体积,以MD为效应量,宫瘤消胶囊+米非司酮[MD=−9.22,95%CI (−14.27,−4.25)]、桂枝茯苓丸(胶囊)+米非司酮[MD=−7.95,95%CI (−10.76,−5.27)]、血府逐瘀胶囊(口服液)+米非司酮[MD=−16.40,95%CI (−24.96,−7.45)]、小金丸(胶囊)+米非司酮[MD=−15.21,95%CI (−25.30,−5.18)] 的子宫肌瘤体积均小于单用米非司酮,差异具有统计学意义(P<0.05);丹鳖胶囊+米非司酮[MD=12.36,95%CI (1.63,22.81)]、宫瘤清胶囊+米非司酮[MD=10.90,95%CI (0.27,21.26)] 的子宫肌瘤体积均大于血府逐瘀胶囊(口服液)+米非司酮,差异具有统计学意义(P<0.05);其余两两比较差异无统计学意义。见表2。
子宫肌瘤体积结果等级排序如图4所示,共包含8种干预措施,以Rank 8数值越大越好,依次为血府逐瘀胶囊(口服液)+米非司酮(0.55)>小金丸(胶囊)+米非司酮(0.41)>宫瘤宁胶囊+米非司酮(0.02)=宫瘤消胶囊+米非司酮(0.02)>宫瘤清胶囊+米非司酮(0.00)=桂枝茯苓丸(胶囊)+米非司酮(0.00)=丹鳖胶囊+米非司酮(0.00)=米非司酮(0.00)。
2.5.3子宫体积25 篇[5,7-8,11-13,15-16,22-24,26-28,32-34,36-37,39,42,44-47]文献报道了子宫体积,以MD为效应量,桂枝茯苓丸(胶囊)+米非司酮[MD=−30.20,95%CI (−41.96,−18.02)] 的子宫体积小于单用米非司酮,差异具有统计学意义 (P<0.05)。其余两两比较差异无统计学意义,见表2。
子宫体积结果等级排序图如图4所示,共包含8种 干预措施,以Rank 8数值越大越好,依次为桂枝茯苓丸(胶囊)+米非司酮(0.42)>小金丸(胶囊)+米非司酮(0.26)>血府逐瘀胶囊(口服液) +米非司酮(0.13)>宫瘤宁胶囊+米非司酮(0.07)=宫瘤清胶囊+米非司酮(0.07)>丹鳖胶囊+米非司酮(0.04)>宫瘤消胶囊+米非司酮(0.01)>米非司酮(0.00)。
2.5.4卵泡刺激素水平17 篇[6-7,10,12,18,20,22,31,35,37,39-42,44-46]文献报道了卵泡刺激素水平,以MD为效应量,各试验组的卵泡刺激素水平均小于单用米非司酮,但差异无统计学意义。两两之间比较,差异也无统计学意义。见表2。
卵泡刺激素水平结果等级排序如图4所示,共包含7种干预措施,以Rank 7数值越大越好,依次为丹鳖胶囊+米非司酮(0.66)>宫瘤消胶囊+米非司酮(0.17)>宫瘤宁胶囊+米非司酮(0.07)>宫 瘤清胶囊+米非司酮(0.05)=桂枝茯苓丸(胶囊)+米非司酮(0.05)>血府逐瘀胶囊(口服液)+米非司酮(0.01)>米非司酮(0.00)。
2.5.5促黄体生成素水平15 篇[6-7,10,12,20,31,35,37,39-42,44-46]文献报道了促黄体生成素水平,以MD为效应量,各试验组的促黄体生成素水平均小于单用米非司酮,但差异无统计学意义。两两之间比较,差异也无统计学意义。见表2。
促黄体生成素水平结果等级排序如图4所示,共包含7种干预措施,以Rank 7数值越大越好,依次为宫瘤宁胶囊+米非司酮(0.37)>宫瘤消胶囊+米非司酮(0.27)>丹鳖胶囊+米非司酮(0.16)>血府逐瘀胶囊(口服液)+米非司酮(0.14)>宫瘤清胶囊+米非司酮(0.04)>桂枝茯苓丸(胶囊)+米非司酮(0.02)>米非司酮(0.00)。
2.5.6雌二醇水平18 篇[6-7,10,12,18,20,22,31,34-35,37,39-42,44-46]文献报道了雌二醇水平,以MD为效应量,各试验组的雌二醇水平均低于单用米非司酮,但仅有丹鳖胶囊+米非司酮[MD=−49.75,95%CI (−71.23,−26.56)]、宫瘤宁胶囊+米非司酮[MD=−41.09,95%CI (−60.20,−21.47)]、血府逐瘀胶囊(口服液)+米非司酮[MD=−62.41,95%CI (−82.28,−41.23)] 与单用米非司酮相比差异有统计学意义(P<0.05)。丹鳖胶囊+米非司酮与宫瘤清胶囊+米非司酮[MD=−30.70,95%CI (−59.26,−1.05)]、宫瘤消胶囊+米非司酮[MD=−35.84,95%CI (−63.56,−5.86)]、桂枝茯苓丸(胶囊)+米非司酮[MD=−43.71, 95%CI (−67.23, −18.78)] 相比,雌二醇水平更低且具有统计学意义(P<0.05);宫瘤清胶囊+米非司酮[MD=43.88,95%CI (15.49,70.75)]、宫瘤消胶囊+米非司酮[MD=48.53,95%CI (19.81,76.27)]、桂枝茯苓丸(胶囊)+米非司酮[MD=56.62,95%CI (32.69,78.83)] 与血府逐瘀胶囊(口服液)+米非司酮相比,雌二醇水平更高且具有统计学意义(P<0.05)。其余两两比较差异无统计学意义。见表2。
雌二醇水平结果等级排序如图4所示,共包含7种干预措施,以Rank 7数值越大越好,依次为血府逐瘀胶囊(口服液)+米非司酮(0.77)>丹鳖胶囊+米非司酮(0.18)>宫瘤宁胶囊+米非司酮(0.05)>宫瘤消胶囊+米非司酮(0.00)=宫瘤清胶囊+米非司酮(0.00)=桂枝茯苓丸(胶囊)+米非司酮(0.00)=米非司酮(0.00)。
2.5.7孕酮水平14 篇[6,10,12,18,20,22,34,37,39-41,44-46]文献报道了孕酮水平,以MD为效应量,各试验组的孕酮水平均低于单用米非司酮,但差异无统计学意义。两两之间比较,差异也无统计学意义。见表2。
孕酮水平结果等级排序如图4所示,共包含7种干预措施,以Rank 7数值越大越好,依次为宫瘤宁胶囊+米非司酮(0.69)>血府逐瘀胶囊(口服液)+米非司酮(0.26)>宫瘤清胶囊+米非司酮(0.03)>丹鳖胶囊+米非司酮(0.02)>宫瘤消胶囊+米非司酮(0.01)=桂枝茯苓丸(胶囊)+米非司酮(0.01)>米非司酮(0.00)。
2.5.8不良反应27 篇[6-9,11-15,17,19,21,25,27-30,32,33,35,38,41-45,47]文献报道了用药期间的不良反应,以OR为效应量,各试验组的不良反应均小于单用米非司酮,但仅有宫瘤清胶囊+米非司酮[OR=0.11,95%CI (0.01,0.58)]、桂枝茯苓丸(胶囊)+米非司酮[OR=0.53,95%CI (0.31,0.89)]、血府逐瘀胶囊(口服液)+米非司酮[OR=0.10,95%CI (0.01,0.92)] 与单用米非司酮相比差异有统计学意义 (P<0.05),其余均无统计学意义。两两比较均无统计学意义。见表2。
用药期间的不良反应结果等级排序如图4所示,共包含7种干预措施,以Rank 7数值越大越好,依次为血府逐瘀胶囊(口服液)+米非司酮(0.51)>宫瘤清胶囊+米非司酮(0.46)>丹鳖胶囊+米非司酮(0.02)>宫瘤消胶囊+米非司酮(0.01)=小金丸(胶囊)+米非司酮(0.01)>桂枝茯苓丸(胶囊)+米非司酮(0.00)=米非司酮(0.00)。
2.6 发表偏倚检验
对结局指标进行发表偏倚检验,见图5。由图5可知,各研究结局指标所纳入文献构成的漏斗图,均存在斜率。这说明研究存在发表偏倚或小样本效应的可能性。
3 讨论
中国古代并未有子宫肌瘤的病名,将其归属于“癥瘕”病范畴。巢元方在《诸病源候论》中写道:“癥瘕者,皆由寒温不调,饮食不化所导致,与脏器相搏结所生也……”。可见,“癥瘕”或由寒热湿邪所致,或由气虚不能行血,或由情志内伤、肝气郁滞所致[48],因此中医常以活血化瘀、益气活血、疏肝解郁等治则配成的中成药治疗该病。现目前临床中将这些中成药与孕激素拮抗剂米非司酮联合治疗,以期达到更好的疗效。
本研究旨在针对临床中常用的7种中成药联合米非司酮治疗子宫肌瘤的疗效和安全性进行网状Meta分析与结果等级排序,结果显示,临床总有效率、子宫肌瘤体积和雌二醇水平方面,血府逐瘀胶囊(口服液)联合米非司酮的疗效最佳,血府逐瘀复方中运用大量的活血化瘀药物,如桃仁、红花、芍药等。芍药有效成分白芍苷、芍药苷具有抑制子宫肌瘤细胞增殖的作用[49],有研究表明,血府逐瘀汤可使子宫肌瘤大鼠子宫组织肿瘤坏死因子、外周血一氧化氮合酶水平上调,白细胞介素-2水平下调,从而达到治疗的目的[50]。其还可通过降低子宫肌瘤患者雌二醇水平,来缩小子宫肌瘤体积[51]。
而针对子宫体积方面,以桂枝茯苓丸(胶囊)联合米非司酮的疗效最佳,该复方中桃仁和赤芍有抗肿瘤的作用[52],其组方可改善子宫肌瘤大鼠肌瘤组织炎性细胞浸润程度、平滑肌增生情况、平滑肌细胞内线粒体和粗面内质网异常形态改变,通过改善子宫肌瘤体积而缩小子宫体积[53]。
促黄体生成素、孕酮水平方面以宫瘤宁联合米非司酮的疗效最好,其方中三棱作为破气消癥药,可降低子宫肌瘤大鼠卵泡刺激素和促黄体生成素的含量[54]。动物实验研究表明,三棱可降低子宫肌瘤大鼠血清孕酮水平[55]。卵泡刺激素水平方面,以丹鳖胶囊疗效最好,其方中丹参、三七、当归能改善血液循环状态,三棱、莪术、鳖甲、海藻等具有抗肿瘤的作用,该方通过改善血液和内分泌状态,进一步抑制卵泡刺激素、促黄体生成素、雌二醇的合成和分泌[56]。
本研究用药期间的不良反应多为恶心、呕吐、头晕和潮热等,未见肝肾功能的损害,米非司酮联合中成药较单纯服用米非司酮可降低其不良反应,停药后症状可消失。
综上所述,通过对中成药联合米非司酮治疗子宫肌瘤的RCT进行网状Meta分析,旨在为临床的合理用药提供证据,临床可通过患者目前的首要需求给予个性化治疗方案。但本研究所纳入的文献存在发表偏倚,今后仍需更大样本量、更严谨研究方案的RCT来进一步证明,以便于提供更加可靠的循证医学证据。
利益冲突所有作者均声明不存在利益冲突
参考文献(略)
来 源:王 晨,汪 娟,杨凤娜,魏志玲,王 芳.中成药联合米非司酮治疗子宫肌瘤的网状Meta分析 [J]. 中草药, 2022, 53(21): 6820-6831 .
- 本文固定链接: https://www.maimengkong.com/zixun/2059.html
- 转载请注明: : 萌小白 2025年10月2日 于 卖萌控的博客 发表
- 百度已收录